√1000以上 3/x y 2/x-y=3 2x y 3/x-y=11/3 288413
Set the factor '(2x 3y)' equal to zero and attempt to solve Simplifying 2x 3y = 0 Solving 2x 3y = 0 Move all terms containing x to the left, all other terms to the right Add '3y' to each side of the equation 2x 3y 3y = 0 3y Combine like terms 3y 3y = 0 2x 0 = 0 3y 2x = 0 3y Remove the zero 2x = 3y Divide each sideExtended Keyboard Examples Upload Random Compute answers using Wolfram's breakthrough technology & knowledgebase, relied on by millions of students & professionals For math, science, nutrition, history, geography, engineering, mathematics, linguistics, sports, finance, musicClick here to see ALL problems on Systemsofequations Question y=3x2 y=2x3 Answer by Fombitz (323) ( Show Source ) You can put this solution on YOUR website!

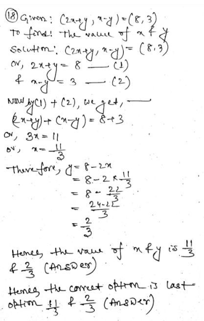
Lf 2x Y X Y 8 3 Then Value Of X Amp Y Are Respectively A 11 2 And 3 2 B 0 And 8 C 8 And 3 D 11 3 And 2 3 Snapsolve
3/x y 2/x-y=3 2x y 3/x-y=11/3
3/x y 2/x-y=3 2x y 3/x-y=11/3- # f(x,y) = 3xyx^33y^2 # Step 1 Find the Partial Derivatives We compute the partial derivative of a function of two or more variables by differentiating wrt one variable, whilst the other variables are treated as constant Thus The First Derivatives are # f_x \ = (partial f) / (partial x) \ \ = 3y 3x^2 #X' = 1 0 X 1 = x 2y 2 = 2x 2y dt dt \1 0 1, dy = 4x 3y dt dy = x 3y dt 3 11 X' = 3 X 4 dx 3 dt dx 4 dt = 4x 2y 2y 2* 1 4 dy 5 * 2y dy 4* 2y 3 dt dt 12 X' = 4 1 2 X 10 5 X' = 6 2 6 X' = 12/ In Problems 13 and 14 solve the given initialvalue problem dx dx (4 )* 7 = x y z 8 = 2x – 7y dt dt 13 X' = X, X(0




Exercise 1 2 Cramer S Rule Problem Questions With Answer Solution
2x3y=16 Answer by swincher4391 (1107) ( Show Source ) You can put this solution on YOUR website!Calculus Graph y=x^33x^22x y = x3 − 3x2 2x y = x 3 3 x 2 2 x Find the point at x = −1 x = 1 Tap for more steps Replace the variable x x with − 1 1 in the expression f ( − 1) = ( − 1) 3 − 3 ( − 1) 2 2 ( − 1) f ( 1) = ( 1) 3 3 ( 1) 2 2 ( 1) Simplify the resultChoose one of the equations and solve it for x by isolating x on the left hand side of the equal sign 3x2y=22 3 x 2 y = 2 2 Subtract 2y from both sides of the equation Subtract 2 y from both sides of the equation 3x=2y22 3 x = − 2 y 2 2 Divide both sides by 3 Divide both sides by 3
Ex 25, 9Verify (i) x3 y3 = (x y) (x2 – xy y2)LHS x3 y3We know (x y)3 = x3 y3 3xy (x y)So, x3 y3 = (x y)3 – 3xy (x y) = (x y)3 – 3xySin() = 1/9 , in Quadrant II3x y = 2 replace x by 1 and the equation becomes 3(1) y = 2 do the multiplication of 3 times 1 and the equation reduces to 3 y = 2 Get rid of the 3 on the left side by subtracting 3 from both sides of the equation to reach the solution y = 2 3 = 1 So the solution to this problem is x = 1 and y = 1 Hope this helps you to
Solve your math problems using our free math solver with stepbystep solutions Our math solver supports basic math, prealgebra, algebra, trigonometry, calculus and more Use the second equation to provide an expression for y in terms of x to substitute into the first equation to give a quadratic equation in x First add x to both sides of the second equation to get y = x3 Then substitute this expression for y into the first equation to get 29 = x^2(x3)^2 = 2x^26x9 Subtract 29 from both ends to get 0 = 2x^26x Divide both sides by 2 to get2 HMS has a total of 852 choir and orchestra/band students The ratio of choir students to orchestra/band students is 13




Objective To Graph Linear Equations Using X Y Charts One Variable Equations Two Variable Equations 2x 3 X 14 X 7 One Solution Ppt Download




Hprec5 1
Algebra Calculator is a calculator that gives stepbystep help on algebra problems See More Examples » x3=5 1/3 1/4 y=x^21 Disclaimer This calculator is not perfect Please use at your own risk, and please alert us if something isn't working Thank youTranscribed image text Graph the system of linear equations Solve the system and interpret your answer 2x y = 4 x y = 2 x 3y = 2 x 2y = 3 x y = 1 2x 2y = 5 1/2x 1/3y = 1 2x 4/3y = 4 3x 5y = 7 2x y = 9 x 3y = 17 4x 3y = 7 2x y = 5 5x y = 11 x 5y = 21 6x 5y = 21 x 3/4 y 1/3 = 1 x 1/2 y 2/3 = 4 2x y = 12 x 2y = 5 005x 003y = 007 007xAnd Q4, has No Solutions to the Systems of Equations Hope that Helps!!!!



Cbse 10 Math Cbse Linear Equations In Two Variables Ncert Solutions




If X Y 2 3 Find The Value Of 3x 2y 2x 5y Dot
Y = 2x 3 y = 2 x 3 , y = 3x 1 y = 3 x 1 Eliminate the equal sides of each equation and combine 2x3 = 3x1 2 x 3 = 3 x 1 Solve 2x3 = 3x1 2 x 3 = 3 x 1 for x x Tap for more steps Move all terms containing x x to the left side of the equation Without calculating the answer, will 2/3 x 6/10 be larger or smaller than 2/3 ?Answer by lenny460 (1073) ( Show Source ) You can put this solution on YOUR website!




X Y 7 And X Y 11 Find The Value Of X And Y Mathematics Topperlearning Com 7tkfjcii




Prove That X2 Y2 C X2 Y2 2 Is The General Solution Of The Differential Equation X3 3xy2 Dx Y3 3x2y Dy Where C Is Parameter Mathematics Shaalaa Com
Transcript Ex 63, 11 Solve the following system of inequalities graphically 2x y ≥ 4, x y ≤ 3, 2x – 3y ≤ 6 First we solve 2x y ≥ 4 Lets first draw graph of 2x y = 4 Putting x = 0 in (1) 2(0) y = 4 0 y = 4 y = 4 Putting y = 0 in (1) 2x (0) = 4 2x = 4 x = 4/2 x = 2 Points to be plotted are (0, 4), (2, 0) Drawing graph Checking for (0,0) Putting x = 0, y = 0 2x y ≥I am going to do this using substitution and then by elimination SUBSTITUTION METHOD Let's solve the first one in terms of y y = 3x Plug 3x where you see y in the second equation 2xLet and 1 x = u and 1 y = v Then, equations (1) and (2) become u v = and 4 3 and u 2 v = 10 3 ⇒ 3u 3v = 4 and 3u 6v = 10 Adding, We have 9v = 6 ⇒ v = 6 9 = 2 3 ⇒ 1 y =



How To Solve For X And Y In X Y 5 And Xy 6 Quora



If X Y 5 And Xy 3 Then What Is X2 Y2 Equal To Quora
Basic Math Simplify (3xy) (2xy) (3x − y) (2x y) ( 3 x y) ( 2 x y) Expand (3x−y)(2x y) ( 3 x y) ( 2 x y) using the FOIL Method Tap for more steps Apply the distributive property 3 x ( 2 x y) − y ( 2 x y) 3 x ( 2 x y) y ( 2 x y) Apply the distributive propertySimple and best practice solution for y=31/2x equation Check how easy it is, and learn it for the future Our solution is simple, and easy to understand,First type the equation 2x3=15 Then type the @ symbol Then type x=6 Try it now 2x3=15 @ x=6 Clickable Demo Try entering 2x3=15 @ x=6 into the text box After you enter the expression, Algebra Calculator will plug x=6 in for the equation 2x3=15 2(6)3 = 15 The calculator prints "True" to let you know that the answer is right More Examples




1 Add The Following A 2x 2 Xy 5x 2 2xy And 4x 2 7xy B 4 X 7y 3z 5x 4z 7y 6z 7y 2 X C 3xy 5x 2 2y 2 4x 2 3xy 7y 2 And 5x 2 7xy 4y 2 D 4x 2 5x 3 4x 2 3 2x And 4x 3x 2 7 E X 3 3x 2 Y 3xy 2 Y 3 X 2 Y 3x 3 Y




Given That Math X Y 5 Math And Math X Y 11 Math What Is The Value Of Either Math X Math Or Math Y Math Quora
Since they both equal y, set them equal to each other and solve for x Then from either equation, solve for yY = 2x 3 Therefore, Answer, x = 5 / 6 and y = 11 / 6 Hence, Answers to your Questions (Q1 x – y = 1, –3x 3y = 3 There is No Solutions) , and (Q4 –3x – y = 5, 15x = 10 – 5y, There is No Solutions) Both, Q1;Get stepbystep solutions from expert tutors as fast as 1530 minutes




Giải Cac Hệ Phương Trinh X Y Xy 11 Va X 2 Y 2 3 X Y 28 Toan Học Lớp 9 Bai Tập Toan Học



1 Add The Following A 2x 2 Xy 5x 2 2xy And 4x 2 7xy B 4 X 7y 3z 5x 4z 7y 6z 7y 2 X C 3xy 5x 2 2y 2 4x 2 3xy 7y 2 And 5x 2 7xy 4y 2 D 4x 2 5x 3 4x 2 3 2x And 4x 3x 2 7 E X 3 3x 2 Y 3xy 2 Y 3 X 2 Y 3x 3 Y
#(x^2y^22xy)(xy)=x^3x^2yxy^2y^32x^2y2xy^2# #rArr x^3y^33x^2y3xy^2# Always expand each term in the bracket by all the other terms in the other brackets, but never multiply two or more terms in the same bracketSolve for x Use the distributive property to multiply xy by x^ {2}xyy^ {2} and combine like terms Use the distributive property to multiply x y by x 2 − x y y 2 and combine like terms Subtract x^ {3} from both sides Subtract x 3 from both sides Combine x^ {3} and x^ {3} to get 0 Combine x 3 and − x 3 to get 0Solvevariablecom contains valuable facts on solve for y calculator, solving exponential and quadratic function and other algebra subjects In cases where you have to have advice on mixed numbers or even grade math, Solvevariablecom is simply the ideal site to explore!




Lf 2x Y X Y 8 3 Then Value Of X Amp Y Are Respectively A 11 2 And 3 2 B 0 And 8 C 8 And 3 D 11 3 And 2 3 Snapsolve




Find Slope Of Tangent Line To Curve 2xy Y 3 4 At 3 2 Youtube
Mathematics Middle School answered • expert verified Consider the system of equations y = 3x 2 y = − 2/3 x − 4 Explain why these particular equations can be graphed immediately 2 See answers AdvertisementF (x,y)=x^2y^2 WolframAlpha Have a question about using WolframAlpha?Contact Pro Premium Expert Support »




Hprec5 1




Sol Bal
10 A impossible to tell B the same c larger D smaller Evaluate the expression under the given conditions sin(2);Since f(x,y)=\frac{x^3x^2yxy^2y^3}{xy}=\frac{(xy)(x^2y^2)}{(xy)}=\mathbf{1}(x\neq y)(x^2y^2) So they are circles without points on the line x=y Example 28 Solve the following system of equations by matrix method 3x – 2y 3z = 8 2x y – z = 1 4x – 3y 2z = 4 The system of equation is 3x – 2y 3z = 8 2x y – z = 1 4x – 3y 2z = 4 Writing equation as AX = B 8(3&−2&3@2&1&−1@4&−3&2) 8(𝑥@𝑦@𝑧) = 8(8@1@4) H




Answers




Solve The Following Simultaneous Equations Graphically 3x Y 2 2x Y 3 Algebra Shaalaa Com
Ex 32, 11 If x 8(2@3) y 8(−1@1) = 8(10@5) , find values of x and y x 8(2@3) y 8(−1@1) = 8(10@5) 8(2𝑥@3𝑥) 8(−𝑦@𝑦2x4y=2, 2xy =4 \square! Given y = 2x − 3 and y = − x 3 We can solve by method of substitution y = 2x − 3 −x 3 = 2x −3 6 = 3x 6 3 = 3x 3 x = 2 God blessI hope the explanation is useful Answer link




Chapter 13 Solving Simultaneous Equations




From The Sum Of 3x Y 11 And Y 11 Subtract 3x
Which equation is y = 3(x – 2)2 – (x – 5)2 rewritten in vertex form? When Graph y = x 1;Choose one of the equations and solve it for x by isolating x on the left hand side of the equal sign 3x=y2 Add y to both sides of the equation x=\frac {1} {3}\left (y2\right) Divide both sides by 3 x=\frac {1} {3}y\frac {2} {3} Multiply \frac {1} {3} times y2



Using Matrices Solve The Following System Of Equations 2x 3y 5z 11 3x 2y 4z 5 X Y 2z 3 Quora



R D Sharma Solutions Class 10th Ch 3 Pair Of Linear Equations In Two Variables Exercise 3 3
Y=3/2x2;y=1/2x2 Simple and best practice solution for y=3/2x2;y=1/2x2 Check how easy it is, to solve this system of equations and learn it for the future Our solution is simple, and easy to understand, so don`t hesitate to use it as a solution of your homework Factoring 5 XXX(2x 1)(x − 2) = 0 6 XXXx = − 1 2 XXX or 7XXXx = 2 XXX x = − 1 2 XXXXXXX x = 2 XXX y = 2x2 − 3 XXXXXXX y = 2x2 − 3 XXX X = 1 2 −3 XXXXXXX X = 8 − 3 XXX X = − 21 2 XXXXXXX X = 5 Answer linkClick here 👆 to get an answer to your question ️ Y=1/2x3 y= 3x2 What is x and y?




Solved 4 3 X Sbench C 2 Solnbex V X2 Y2 Xzle 4x The Graph Of The E Jizc 11 Inequality 73 0 One Equation 0 Variable The




The Two Curves X 3 3xy 2 2 0 And 3x 2y Y 3 2 0 Youtube
Algebra Graph y=3/2x2 y = − 3 2 x − 2 y = 3 2 x 2 Rewrite in slopeintercept form Tap for more steps The slopeintercept form is y = m x b y = m x b, where m m is the slope and b b is the yintercept y = m x b y = m x b Write in y = m x b y = m x b form Tap for more stepsSolve by Substitution y=2x3 , y=x3 y = 2x − 3 y = 2 x 3 , y = −x 3 y = x 3 Eliminate the equal sides of each equation and combine 2x−3 = −x3 2 x 3 = x 3 Solve 2x−3 = −x3 2 x 3 = x 3 for x x Tap for more steps Move all terms containing x x Transcript Ex63, 13 Solve the following system of inequalities graphically 4x 3y ≤ 60, y ≥ 2x, x ≥ 3, x, y ≥ 0 Now we solve 4x 3y ≤ 60 Lets first draw graph of 4x 3y = 60 Drawing graph Checking for (0,0) Putting x = 0, y = 0 4x 3y ≤ 60 4(0) 3(0) ≤ 60 0 ≤ 60 which is true Hence origin lies in plane 3x 4y ≤ 60 So, we shade left side of line Now we solve y ≥ 2x




If X Y 3 And Xy 18 Then Find The Value Of X 3 Y 3




Solved 11 3 X2 Y 3xy Y 0 Xo 0 12 1 X Y Chegg Com
Question Solve the following system of equations and show all work y = x2 3 y = x 5 (10 points) Found 2 solutions by Fombitz, rothausercSubproblem 1 Set the factor ' (3x 1y)' equal to zero and attempt to solve Simplifying 3x 1y = 0 Solving 3x 1y = 0 Move all terms containing x to the left, all other terms to the right Add 'y' to each side of the equation 3x 1y y = 0 y Combine like terms 1y y = 0 3x 0 = 0 y 3x = 0 y Remove the zero 3x = y DivideX^2y^2=9 (an equation of a circle with a radius of 3) sin (x)cos (y)=05 2x−3y=1 cos (x^2)=y (x−3) (x3)=y^2 y=x^2 If you don't include an equals sign, it will assume you mean " =0 " It has not been well tested, so have fun with it, but don't trust it If it gives you problems, let me know




Solve The Problem 3 X Y 2 X Y 3 2 X Y 3 X Y 11 3 Brainly In



Solve For X And Y X Y 8 2 X 2y 14 3 3x Y 12 11 Sarthaks Econnect Largest Online Education Community
X^3 x^2 y x y^2 y^3 Natural Language;Yubizagm yubizagm Mathematics Middle School answered Y=1/2x3 y= 3x2 What is x and y?1 See answer Advertisement Advertisement yubizagm is waiting for



Cbse 10 Math Cbse Linear Equations In Two Variables Ncert Solutions




Document
Y=x3;y=2x1 Simple and best practice solution for y=x3;y=2x1 Check how easy it is, to solve this system of equations and learn it for the future Our solution is simple, and easy to understand, so don`t hesitate to use it as a solution of your homework If it's not what You are looking for type in the system of equations solver your ownGet stepbystep solutions from expert tutors as fast as 1530 minutes Your first 5 questions are on us!(xyz)^3 (x y z) (x y z) (x y z) We multiply using the FOIL Method x * x = x^2 x * y = xy x * z = xz y * x = xy



By The Substitution Method Solve The Linear Equation That Is 8 X 5 Y Is Equal To 9 And 3 X 2 Y Is Equal To 4 Mathematics Topperlearning Com Usvpr6ll




17 3 2x 2 X Y 3 2 X Y 3 X Y 11 3 Brainly In
Click here👆to get an answer to your question ️ Solve by matrix method 2x 3y 3z = 5 x 2y z = 4 3x y 2z = 3




Solve X Y 7 And 3x 2y 11




Exercise 1 2 Cramer S Rule Problem Questions With Answer Solution



Solved 2 H 3 X 2 Xy Xy 2y 2x 2 Y 1 2 Y I Chegg Com




Solve The Following Simultaneous Equation 3 X Y 2 X Y 3 2 X Y 3 X Y 11 3 Brainly In




Prove That X2 Y2 C X2 Y2 2 Is The General Solution Of The Differential Equation X3 3xy2 Dx Y3 3x2y Dy Where C Is Parameter Mathematics Shaalaa Com




Solve The Following System Of Linear Equations Graphically 3x Y 11 0 X Y 1 0 Shade The Region Bounded By These Lines And Also Y A Mathematics Shaalaa Com




Ex 3 2 11 If X 2 3 Y 1 1 10 5 Find X And Y




Systems Of Equations With Elimination 3y 4x 11 Y 2x 13 Video Khan Academy




Solve The Systems Of Equations Graphically 2x 3y 10 3 X Y 4



R D Sharma Solutions Class 10th Ch 3 Pair Of Linear Equations In Two Variables Exercise 3 3



I 3 2x Y 7xy 3 X 3y 11xy Ii 4 X 5y 7 3 X 4y 5 Sarthaks Econnect Largest Online Education Community



Solve The Following Systems Of Equations 3 X Y 2 X Y 2 9 X Y 4 X Y 1 Sarthaks Econnect Largest Online Education Community




If X Y 3 Xy 2 Find The Value Of X3 Y3 Brainly In




If X Y 9 And Xy Then Find The Value Of X 2 Y 2 Youtube




Ex 3 2 11 If X 2 3 Y 1 1 10 5 Find X And Y



1




Solve The Problem 3 X Y 2 X Y 3 2 X Y 3 X Y 11 3 Brainly In




For What Value Of N Is Following A Homogeneous Differential Equation




Hprec5 1




Solved Find Dx In Terms Of X And Y Given 3 Xy Y2 11 B Chegg Com




Let X Sqrt 3 Sqrt 5 And Y Sqrt 3 Sqrt 5 If The Value Of




Find The Value Of X And Y If 2x 3y 2 3 4 0 And 3x 2y 2 2 1 5




Ex 3 2 8 Find X If Y 3 2 1 4 2x Y 1 0 3 2




2 X Y 3 X Y 1 8 X Y 7 X Y 5 6 Solve X And Y Youtube




Solve 2xy X Y 3 2 Xy 2x Y 3 10 Mathematics Topperlearning Com X2oivz99




If 2x2 5y2 Xy 1 3 Find The Ratio X Y Mathematics Topperlearning Com 2fezx3k11




Ex 3 6 1 Vii And Viii Class 10 Ncert Solutions Maths




Objective To Graph Linear Equations Using X Y Charts One Variable Equations Two Variable Equations 2x 3 X 14 X 7 One Solution Ppt Download



Solve The Following Systems Of Equations 2 X 3 Y 9 Xy 4 X 9 Y 21 Xy Where X 0 Y 0 Sarthaks Econnect Largest Online Education Community



Solve The Following Systems Of Equations 3 X Y 2 X Y 2 9 X Y 4 X Y 1 Sarthaks Econnect Largest Online Education Community




Giải Cac Hệ Phương Trinh X Y Xy 11 Va X 2 Y 2 3 X Y 28 Toan Học Lớp 9 Bai Tập Toan Học



If X Y 11 And X Y 7 Then How Do You Find The Solution I E X 4 And Y 9 Quora



11 3 X 2 2 Xy Xy 2y 2x 2 Y 1 2 Y 3 Chegg Com



Solve The Following Systems Of Equations 2 X 3 Y 9 Xy 4 X 9 Y 21 Xy Where X 0 Y 0 Sarthaks Econnect Largest Online Education Community




Find X And Y If 2x 3y 2 3 4 0 And 3x 2y 2 1 1 5 Mathematics Shaalaa Com




If 2x 3y 12 And Xy 6 Find The Value Of 8x 3 27y 3




Review Problems For Basic Algebra I Students




Skills Test Practice Book Solutions Pages 70




4 X 5y 7 3 X 4y 5 Mathematics Topperlearning Com Eyz2xh55




Rd Sharma Solutions For Class 8 Chapter 6 Algebraic Expressions And Identities Exercise 6 2 Avail Free Pdf



A X2 2x 1 X 1 B1 4x2 5x 6 3x 7 C X 1 X 3 3 Gauthmath




Elements Of Algebra Designed For The Use Of Canadian Grammar And Common Schools 8 A X 1 3 Xy 6 Ma M 9 A 1 Exercise Xxii 1



Solved 2 F 1 H 3 Xy Axy Qu 4x 2y 3 Hu Hu Chegg Com




Ex 3 2 7 I Class 12 Matrices Find X And Y If X Y And X




Objective To Graph Linear Equations Using X Y Charts One Variable Equations Two Variable Equations 2x 3 X 14 X 7 One Solution Ppt Download




11 3 Y 2 1 2 Xy 11 2 X 2




X Y 2 X Y 3 8 X Y 3 X Y 4 11 Brainly In




11 3 Y 2 1 2 Xy 11 2 X 2




Solve The Following System Of Equations 27 X Y 15 X Y 2 And 30 X Y 1 X Y 3 Mathematics Topperlearning Com X68shsoo




If X 4 Y 3 5 12 And X 2 Y 1 Then Find The Value Of X Y




1 3x Y 10 3 And 2x 1 4 Y 11 4 Practice Set 1 1 Q2 6 Linear Equations In Two Variables Youtube




Ex 4 6 11 Solve Using Matrix Method 2x Y Z 1 X 2y Z 3 2 3y 5z 9




Giải Cac Hệ Phương Trinh X Y Xy 11 Va X 2 Y 2 3 X Y 28 Toan Học Lớp 9 Bai Tập Toan Học




Rd Sharma Solutions For Class 8 Chapter 6 Algebraic Expressions And Identities Download Free Pdf




Draw The Graph Of Each Of The Following Linear Equations Class 9 Maths Cbse




Y 1 2 Y 1 2 Y 1 Y X 2 X Y Y 1 2 Y 3 1 3 Ppt Download



R D Sharma Solutions Class 10th Ch 3 Pair Of Linear Equations In Two Variables Exercise 3 3




Solve The System Of Equations 3 X Y Y 3 2x Y 2 11 Plainmath Youtube



Systems Of Linear Equations




If X 2 Y 7 And X Y 2 11 Then Find The Value Of X And Y Quora




If Dx 18 And D 3 Are The Values Of The Determinants For Certain Simultaneous Equations In X And Y Find X



Solved In Exercises 1 6 Solve The Equation For Y X Y X Chegg Com



Who Can Solve This X Y 15 And X Y 3 Find X And Y Quora




Find The Real Values Of X And Y For Which The Following Equation Is Satisfied I 2 3i X 2 3 2i Y 2x 3y 5i




Hprec5 1



Cbse 10 Math Cbse Linear Equations In Two Variables Ncert Solutions




Solve The Following Pairs Of Linear Equation 3 X Y 2 X Y 3 2 X Y 3 X Y 11 3 Brainly In




3 Systems Of Linear Equations




Y 1 2 Y 1 2 Y 1 Y X 2 X Y Y 1 2 Y 3 1 3 Ppt Download
コメント
コメントを投稿